Официальное опубликование правовых актов
ОФИЦИАЛЬНОЕ ОПУБЛИКОВАНИЕ
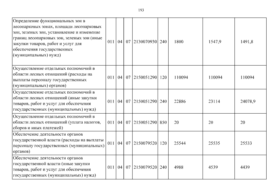
Закон Кемеровской области от 06.02.2017 № 20-ОЗ "О внесении изменений в Закон Кемеровской области "Об областном бюджете на 2017 год и на плановый период 2018 и 2019 годов"
Номер опубликования: 4200201702070001
Дата опубликования: 07.02.2017
Страница №193 из 364:
Увеличить