Официальное опубликование правовых актов
ОФИЦИАЛЬНОЕ ОПУБЛИКОВАНИЕ
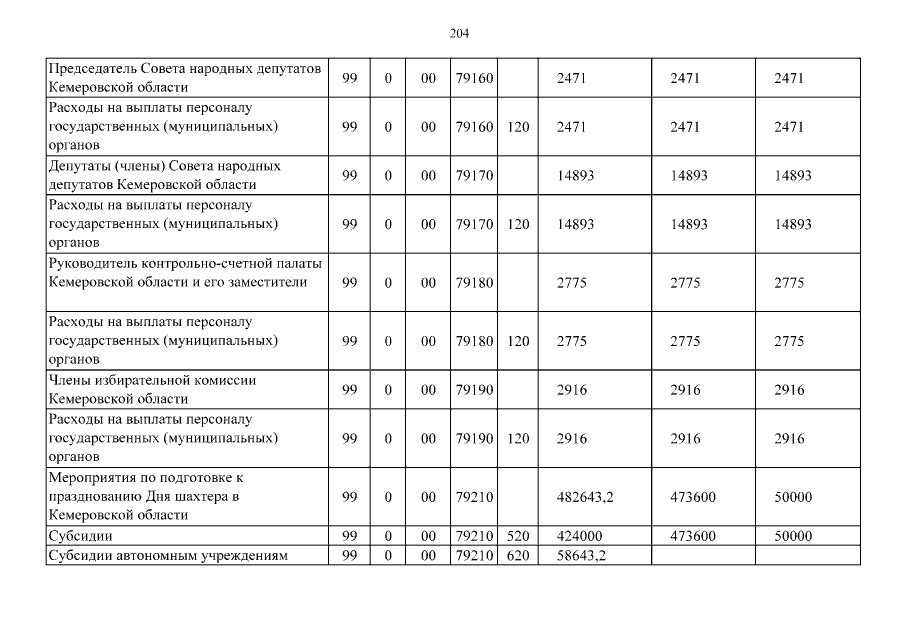
Закон Кемеровской области от 27.01.2017 № 14-ОЗ "О внесении изменений в Закон Кемеровской области "Об областном бюджете на 2017 год и на плановый период 2018 и 2019 годов"
Номер опубликования: 4200201702010001
Дата опубликования: 01.02.2017
Страница №204 из 414:
Увеличить