Официальное опубликование правовых актов
ОФИЦИАЛЬНОЕ ОПУБЛИКОВАНИЕ
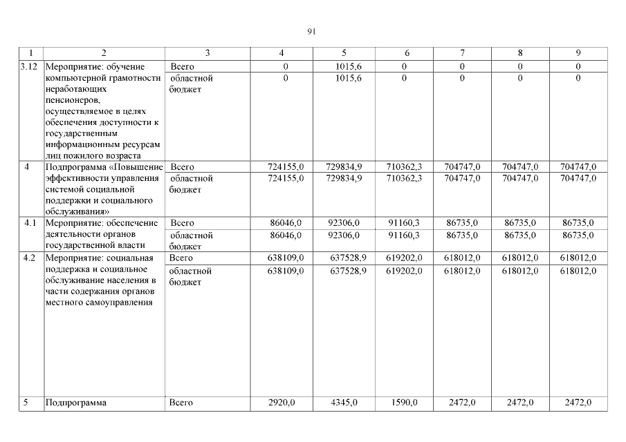
Постановление Коллегии Администрации Кемеровской области от 26.09.2016 № 391
"О внесении изменений в постановление Коллегии Администрации Кемеровской области от 25.10.2013 № 468 "Об утверждении государственной программы Кемеровской области "Социальная поддержка населения Кузбасса" на 2014 - 2018 годы"
Номер опубликования: 4200201610030001
Дата опубликования: 03.10.2016
Страница №91 из 137:
Увеличить