Официальное опубликование правовых актов
ОФИЦИАЛЬНОЕ ОПУБЛИКОВАНИЕ
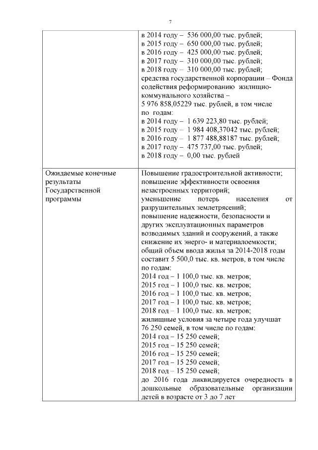
Постановление Коллегии Администрации Кемеровской области от 27.05.2016 № 190
"О внесении изменений в постановление Коллегии Администрации Кемеровской области от 25.10.2013 № 461 "Об утверждении государственной программы Кемеровской области "Жилищная и социальная инфраструктура Кузбасса" на 2014-2018 годы"
Номер опубликования: 4200201606010007
Дата опубликования: 01.06.2016
Страница №7 из 70:
Увеличить