Официальное опубликование правовых актов
ОФИЦИАЛЬНОЕ ОПУБЛИКОВАНИЕ
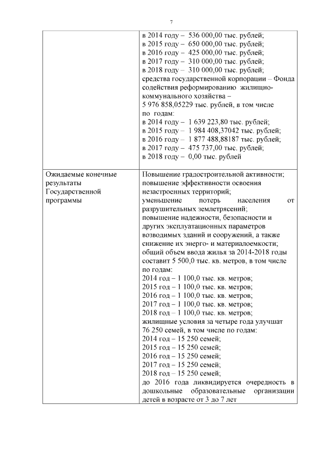
Постановление Коллегии Администрации Кемеровской области от 15.04.2016 № 146
"О внесении изменений в постановление Коллегии Администрации Кемеровской области от 25.10.2013 № 461 "Об утверждении государственной программы Кемеровской области "Жилищная и социальная инфраструктура Кузбасса" на 2014-2018 годы"
Номер опубликования: 4200201604210009
Дата опубликования: 21.04.2016
Страница №7 из 66:
Увеличить