Официальное опубликование правовых актов
ОФИЦИАЛЬНОЕ ОПУБЛИКОВАНИЕ
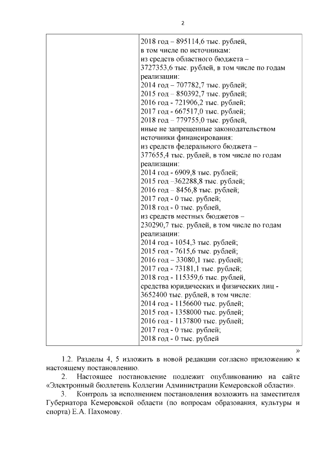
Постановление Коллегии Администрации Кемеровской области от 25.12.2015 № 441
"О внесении изменений в постановление Коллегии Администрации Кемеровской области от 25.10.2013 №466 "Об утверждении государственной программы Кемеровской области "Молодежь, спорт и туризм Кузбасса" на 2014 - 2018 годы"
Номер опубликования: 4200201512290002
Дата опубликования: 29.12.2015
Страница №2 из 25:
Увеличить