Официальное опубликование правовых актов
ОФИЦИАЛЬНОЕ ОПУБЛИКОВАНИЕ
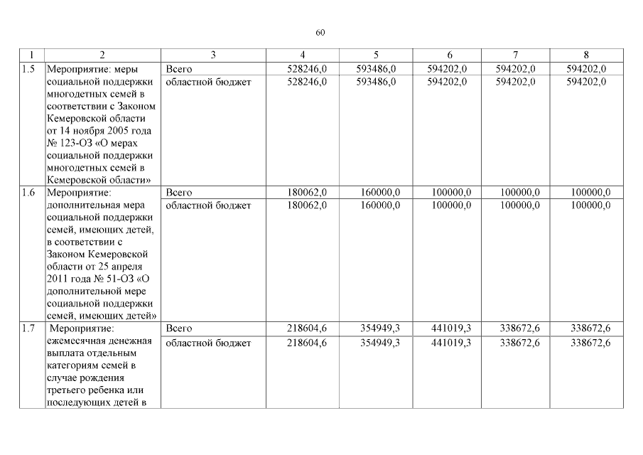
Постановление Коллегии Администрации Кемеровской области от 30.09.2015 № 321
"О внесении изменений в постановление Коллегии Администрации Кемеровской области от 25.10.2013 № 468 "Об утверждении государственной программы Кемеровской области "Социальная поддержка населения Кузбасса" на 2014 - 2017 годы"
Номер опубликования: 4200201510060006
Дата опубликования: 06.10.2015
Страница №60 из 124:
Увеличить