Официальное опубликование правовых актов
ОФИЦИАЛЬНОЕ ОПУБЛИКОВАНИЕ
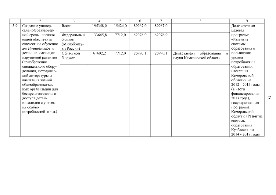
Постановление Коллегии Администрации Кемеровской области от 30.03.2015 № 75
"О внесении изменений в постановление Коллегии Администрации Кемеровской области от 20.02.2014 № 70 "Об утверждении комплексной программы "Доступная среда в Кемеровской области" на 2013-2015 годы"
Номер опубликования: 4200201504020006
Дата опубликования: 02.04.2015
Страница №48 из 55:
Увеличить