Официальное опубликование правовых актов
ОФИЦИАЛЬНОЕ ОПУБЛИКОВАНИЕ
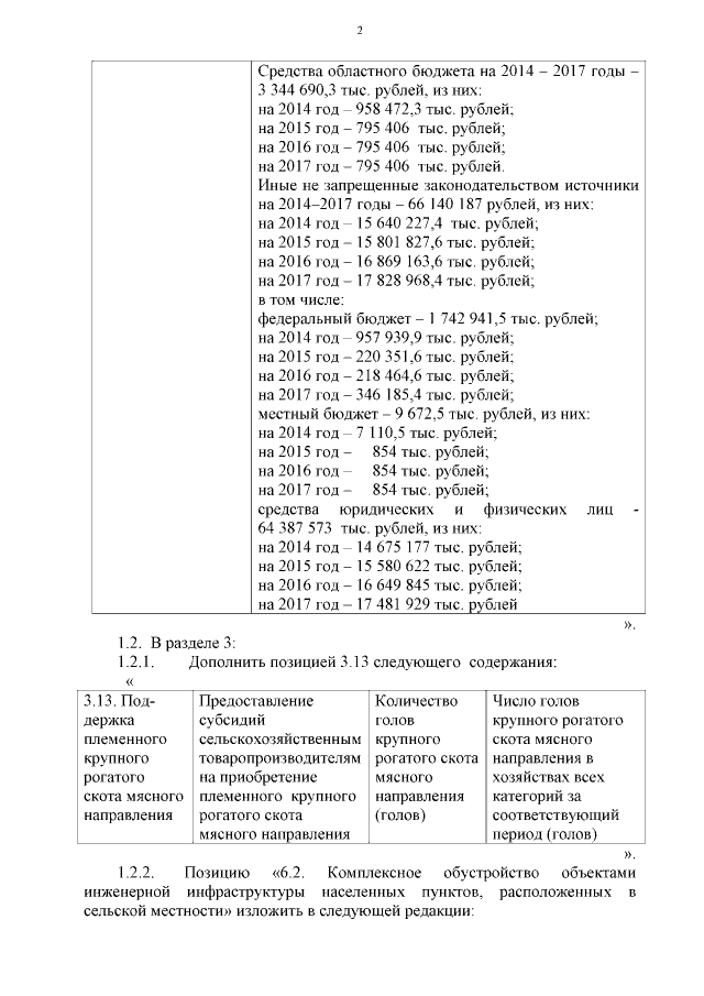
Постановление Коллегии Администрации Кемеровской области от 02.03.2015 № 48
"О внесении изменений в постановление Коллегии Администрации Кемеровской области от 25.10.2013 № 464 "Об утверждении государственной программы Кемеровской области "Государственная поддержка агропромышленного комплекса и устойчивого развития сельских территорий в Кемеровской области" на 2014-2017 годы"
Номер опубликования: 4200201503050008
Дата опубликования: 05.03.2015
Страница №2 из 44:
Увеличить