Официальное опубликование правовых актов
ОФИЦИАЛЬНОЕ ОПУБЛИКОВАНИЕ
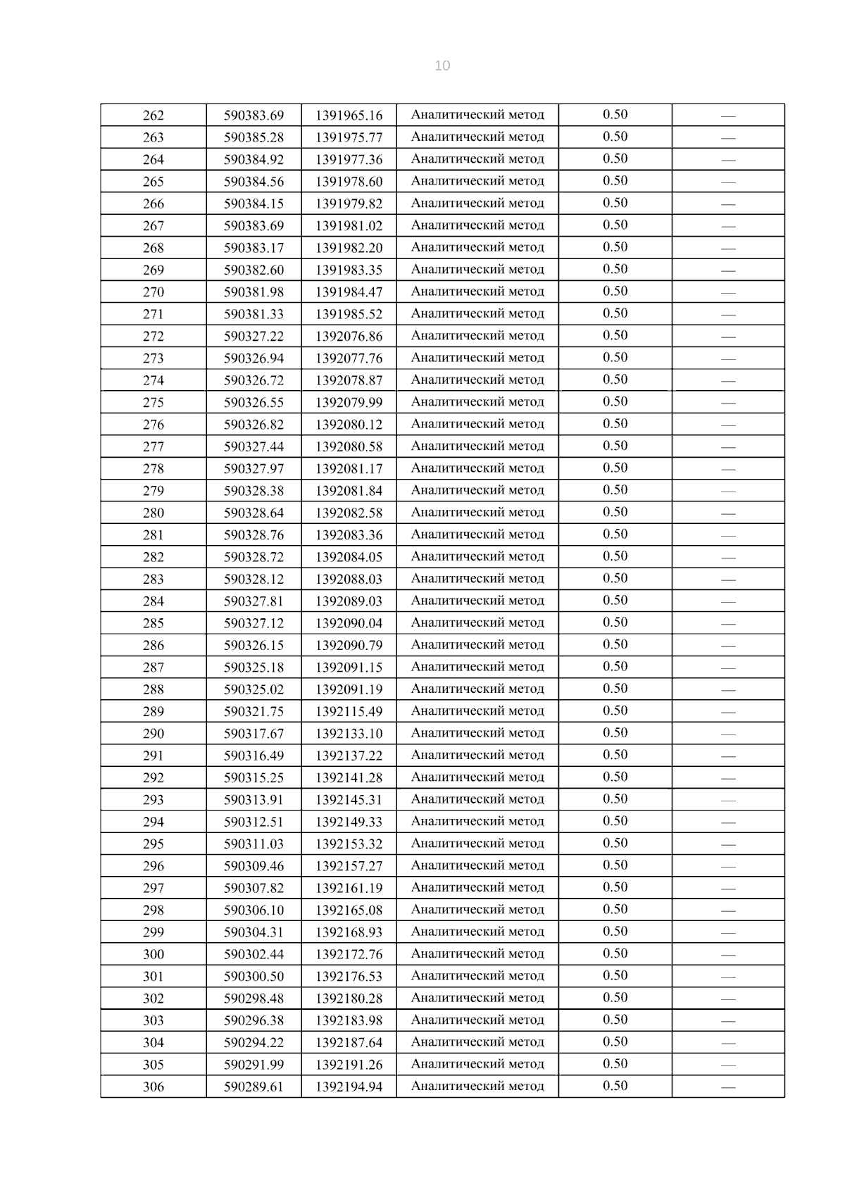
Приказ Министерства имущественных и земельных отношений Камчатского края от 07.05.2025 № 30-Н
"Об утверждении границ охранной зоны газораспределительной сети объекта "Распределительный газопровод до резидентов площадки "Зеленовские озерки" ТОСЭР "Камчатка"
(Зарегистрирован 07.05.2025 № 30-Н)
Номер опубликования: 4101202505130002
Дата опубликования: 13.05.2025
Страница №10 из 35:
Увеличить