Официальное опубликование правовых актов
ОФИЦИАЛЬНОЕ ОПУБЛИКОВАНИЕ
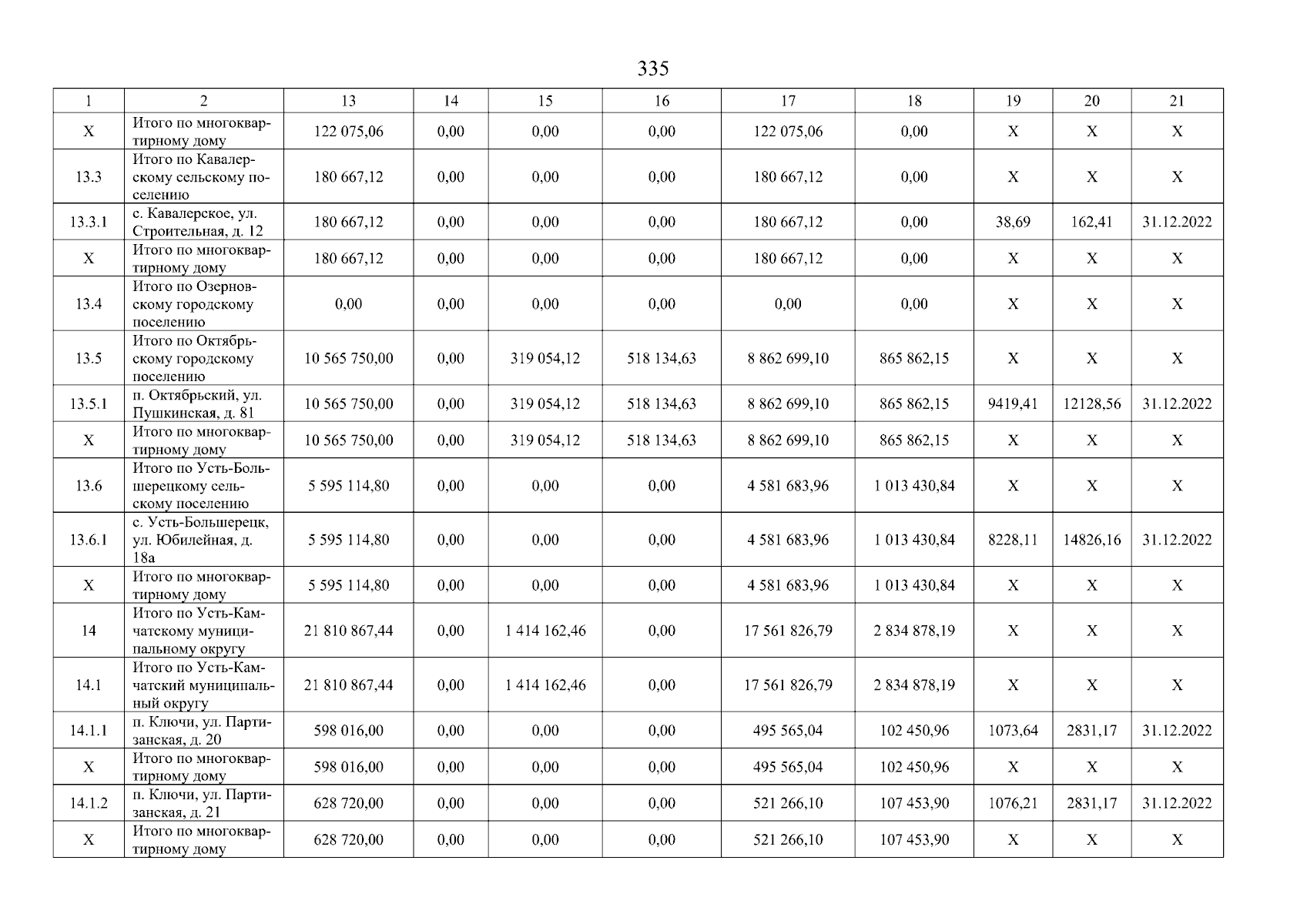
Приказ Министерства жилищно-коммунального хозяйства и энергетики Камчатского края от 31.03.2025 № 9-Н
"О внесении изменений в приложения 1 - 2 к приказу Министерства жилищно-коммунального хозяйства и энергетики Камчатского края от 20.08.2019 № 592 "Об утверждении краткосрочного плана реализации региональной программы капитального ремонта общего имущества в многоквартирных домах в Камчатском крае на 2020 - 2022 годы"
(Зарегистрирован 31.03.2025 № 9-Н)
Номер опубликования: 4101202504010003
Дата опубликования: 01.04.2025
Страница №335 из 346:
Увеличить