Официальное опубликование правовых актов
ОФИЦИАЛЬНОЕ ОПУБЛИКОВАНИЕ
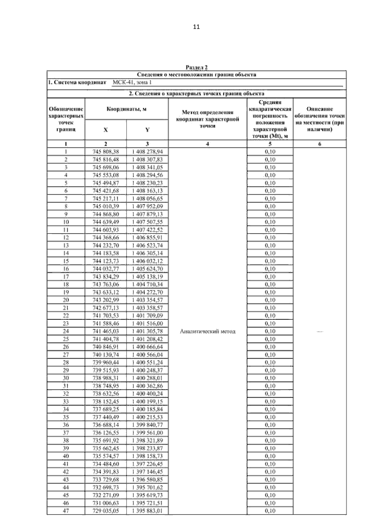
Приказ Министерства имущественных и земельных отношений Камчатского края от 20.02.2025 № 15-Н
"Об установлении публичного сервитута в целях эксплуатации объекта электросетевого хозяйства "Сооружение ВЛЭП 35 кв" c кадастровым номером 41:06:0060101:512"
(Зарегистрирован 20.02.2025 № 15-Н)
Номер опубликования: 4101202502260002
Дата опубликования: 26.02.2025
Страница №11 из 36:
Увеличить