Официальное опубликование правовых актов
ОФИЦИАЛЬНОЕ ОПУБЛИКОВАНИЕ
Приказ Министерства имущественных и земельных отношений Камчатского края от 25.02.2025 № 14-Н
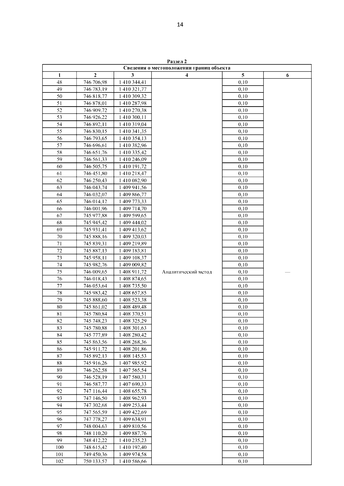
"Об установлении публичного сервитута в целях эксплуатации объекта электросетевого хозяйства "Сооружение ВЛЭП 35 кВ" c кадастровым номером 41:06:0000000:65"
(Зарегистрирован 25.02.2025 № 14-Н)
Номер опубликования: 4101202502250001
Дата опубликования: 25.02.2025
Страница №14 из 21:
Увеличить