Официальное опубликование правовых актов
ОФИЦИАЛЬНОЕ ОПУБЛИКОВАНИЕ
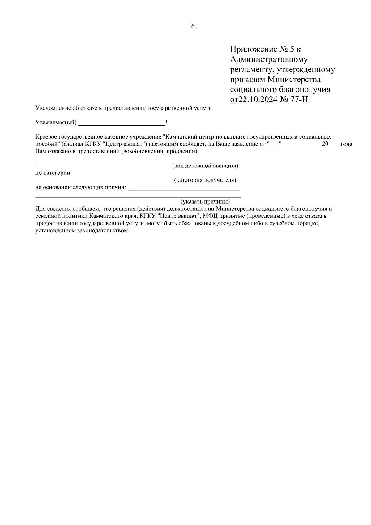
Приказ Министерства социального благополучия и семейной политики Камчатского края от 22.10.2024 № 77-Н
"Об утверждении Административного регламента Министерства социального благополучия и семейной политики Камчатского края по предоставлению государственной услуги "Предоставление единовременной выплаты на приобретение мебели и бытовой техники лицам из числа детей-сирот и детей, оставшихся без попечения родителей"
(Зарегистрирован 22.10.2024 № 77-Н)
Номер опубликования: 4101202410230003
Дата опубликования: 23.10.2024
Страница №61 из 62:
Увеличить