Официальное опубликование правовых актов
ОФИЦИАЛЬНОЕ ОПУБЛИКОВАНИЕ
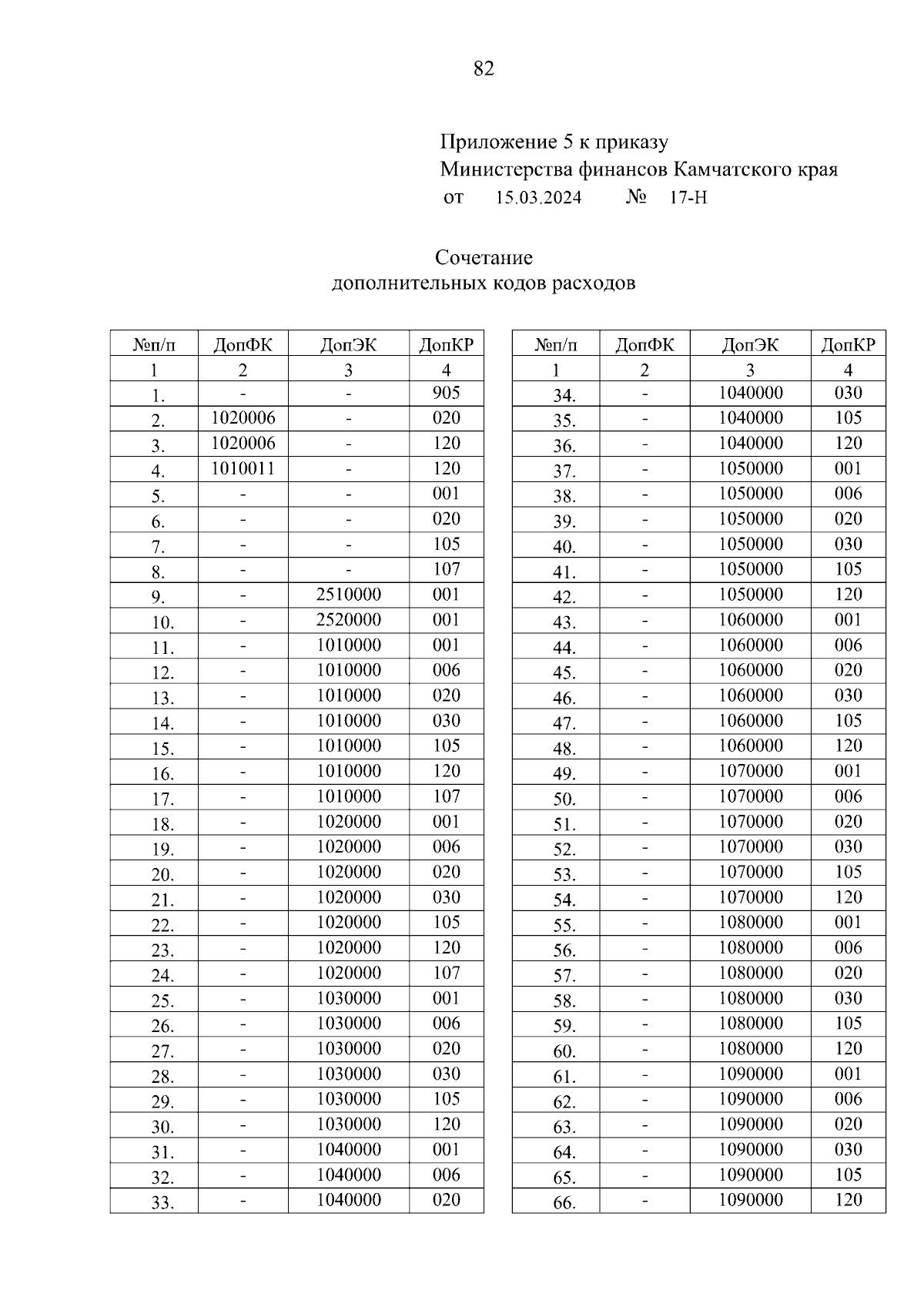
Приказ Министерства финансов Камчатского края от 15.03.2024 № 17-Н
"Об утверждении дополнительных кодов бюджетной классификации на 2024 год"
(Зарегистрирован 15.03.2024 № 17-Н)
Номер опубликования: 4101202403180004
Дата опубликования: 18.03.2024
Страница №82 из 100:
Увеличить