Официальное опубликование правовых актов
ОФИЦИАЛЬНОЕ ОПУБЛИКОВАНИЕ
Постановление Региональной службы по тарифам и ценам Камчатского края от 18.12.2023 № 353-Н
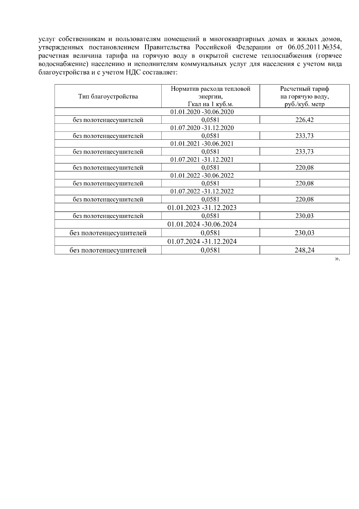
"О внесении изменений в постановление Региональной службы по тарифам и ценам Камчатского края от 18.12.2019 № 361 "Об утверждении тарифов в сфере теплоснабжения АО "Корякэнерго" потребителям сельского поселения "село Усть-Хайрюзово" Тигильского муниципального района, на 2020 - 2024 годы"
(Зарегистрирован 18.12.2023 № 353-Н)
Номер опубликования: 4101202312260065
Дата опубликования: 26.12.2023
Страница №11 из 11:
Увеличить