Официальное опубликование правовых актов
ОФИЦИАЛЬНОЕ ОПУБЛИКОВАНИЕ
Приказ Министерства имущественных и земельных отношений Камчатского края от 27.11.2023 № 42-Н
"Об утверждении результатов определения кадастровой стоимости объектов недвижимости на территории Камчатского края"
(Зарегистрирован 27.11.2023 № 42-Н)
Номер опубликования: 4101202311280003
Дата опубликования: 28.11.2023
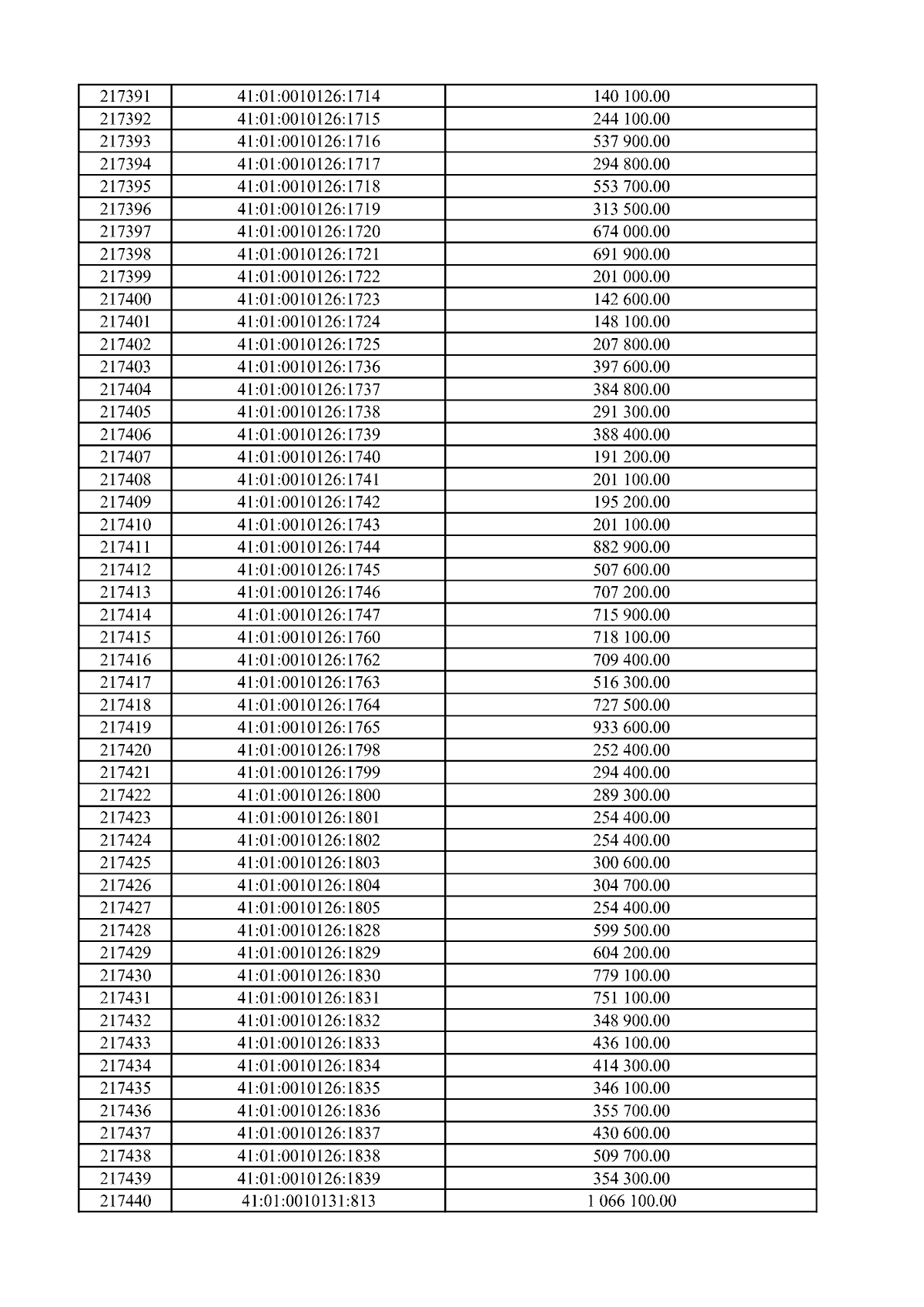
Страница №4350 из 4632:
Увеличить