Официальное опубликование правовых актов
ОФИЦИАЛЬНОЕ ОПУБЛИКОВАНИЕ
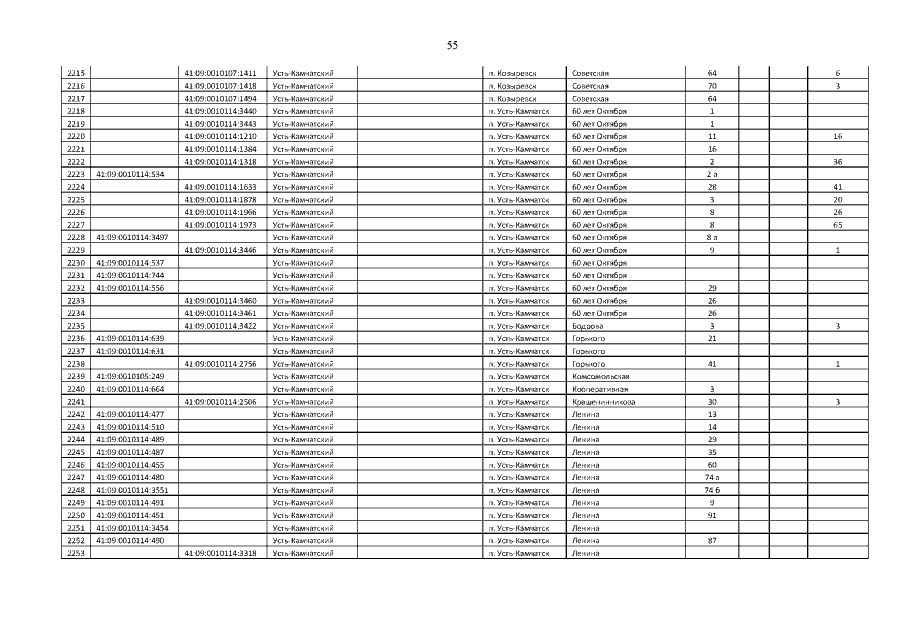
Приказ Министерства имущественных и земельных отношений Камчатского края от 12.12.2022 № П-52
"Об определении перечня объектов недвижимого имущества, в отношении которых налоговая база определяется как кадастровая стоимость на 2023 год"
Номер опубликования: 4101202212140023
Дата опубликования: 14.12.2022
Страница №55 из 127:
Увеличить