Официальное опубликование правовых актов
ОФИЦИАЛЬНОЕ ОПУБЛИКОВАНИЕ
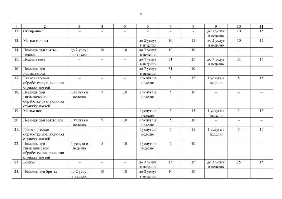
Приказ Министерства социального благополучия и семейной политики Камчатского края от 08.06.2022 № 447-п
"О внесении изменений в приказ Министерства социального благополучия и семейной политики Камчатского края от 26.03.2021 № 427-п "Об утверждении гарантированного перечня и объема социальных услуг, предоставляемых в рамках социального пакета долговременного ухода, обеспечивающих гражданину, нуждающемуся в постороннем уходе, бесплатное предоставление ухода в форме социального обслуживания на дому и в полустационарной форме социального обслуживания"
Номер опубликования: 4101202206090005
Дата опубликования: 09.06.2022
Страница №5 из 9:
Увеличить