Официальное опубликование правовых актов
ОФИЦИАЛЬНОЕ ОПУБЛИКОВАНИЕ
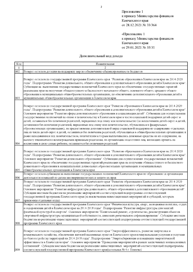
Приказ Министерства финансов Камчатского края от 28.12.2021 № 33/364
"О внесении изменений в приказ Министерства финансов Камчатского края от 29.01.2021 № 33/31 "Об утверждении дополнительных кодов бюджетной классификации на 2021 год"
Номер опубликования: 4101202112290001
Дата опубликования: 29.12.2021
Страница №2 из 72:
Увеличить