Официальное опубликование правовых актов
ОФИЦИАЛЬНОЕ ОПУБЛИКОВАНИЕ
Постановление Региональной службы по тарифам и ценам Камчатского края от 20.12.2021 № 370
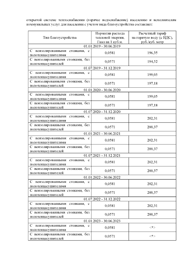
"О внесении изменений в постановление Региональной службы по тарифам и ценам Камчатского края от 06.12.2018 № 321 "Об утверждении тарифов в сфере теплоснабжения АО "ОССОРА" на территории сельского поселения "поселок Оссора" и сельского поселения "село Карага" Карагинского муниципального района, на 2019-2023 годы"
Номер опубликования: 4101202112240011
Дата опубликования: 24.12.2021
Страница №13 из 18:
Увеличить