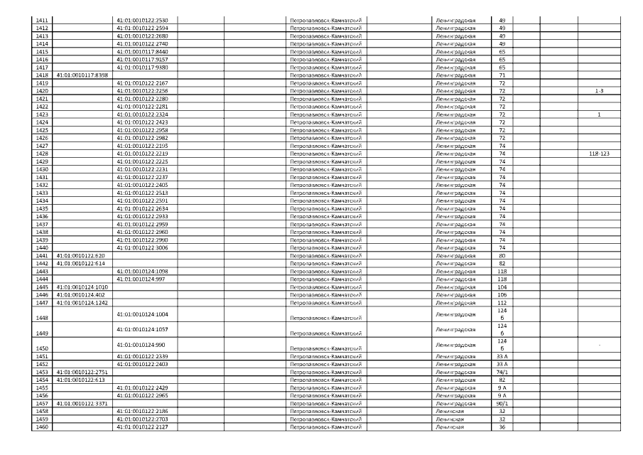
Приказ Министерства имущественных и земельных отношений Камчатского края от 28.12.2020 № 60/214
"Об определении перечня объектов недвижимого имущества, в отношении которых налоговая база определяется как кадастровая стоимость на 2021 год"
"Об определении перечня объектов недвижимого имущества, в отношении которых налоговая база определяется как кадастровая стоимость на 2021 год"
Номер опубликования: 4101202012290017
Дата опубликования:
29.12.2020
