Официальное опубликование правовых актов
ОФИЦИАЛЬНОЕ ОПУБЛИКОВАНИЕ
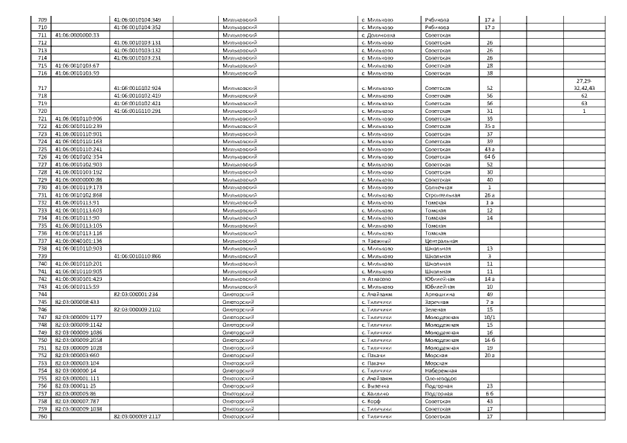
Приказ Министерства имущественных и земельных отношений Камчатского края от 28.12.2020 № 60/214
"Об определении перечня объектов недвижимого имущества, в отношении которых налоговая база определяется как кадастровая стоимость на 2021 год"
Номер опубликования: 4101202012290017
Дата опубликования: 29.12.2020
Страница №16 из 44:
Увеличить