Официальное опубликование правовых актов
ОФИЦИАЛЬНОЕ ОПУБЛИКОВАНИЕ
Постановление Региональной службы по тарифам и ценам Камчатского края от 16.12.2020 № 276
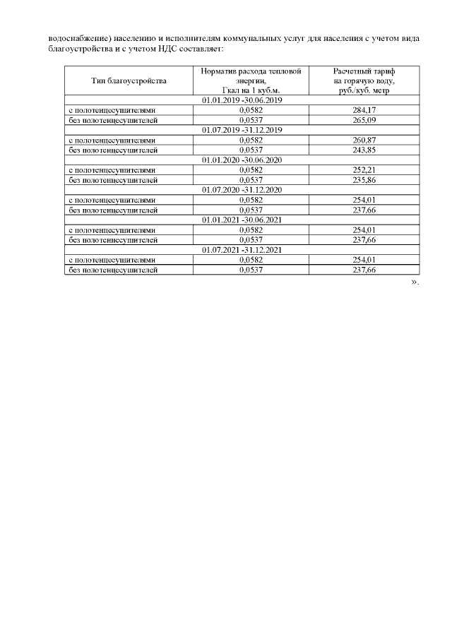
"О внесении изменений в приложения 2 - 6 к постановлению Региональной службы по тарифам и ценам Камчатского края от 20.12.2018 № 442 "Об утверждении тарифов в сфере теплоснабжения ПАО "Камчатскэнерго" потребителям Николаевского сельского поселения Елизовского района, на 2019 - 2023 годы"
Номер опубликования: 4101202012220091
Дата опубликования: 22.12.2020
Страница №13 из 13:
Увеличить