Официальное опубликование правовых актов
ОФИЦИАЛЬНОЕ ОПУБЛИКОВАНИЕ
Приказ Министерства имущественных и земельных отношений Камчатского края от 27.11.2020 № 187
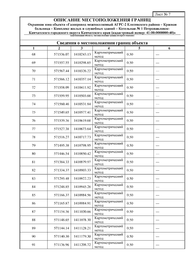
"О внесении изменений в приказ Министерства имущественных и земельных отношений Камчатского края от 05.02.2020 № 16 "Об утверждении границ охранной зоны объекта "Газопровод межпоселковый АГРС-2 Елизовского района - Краевая больница - Комплекс жилых и служебных зданий - Котельная № 1 Петропавловск-Камчатского городского округа Камчатского края"
Номер опубликования: 4101202012010001
Дата опубликования: 01.12.2020
Страница №9 из 63:
Увеличить