Официальное опубликование правовых актов
ОФИЦИАЛЬНОЕ ОПУБЛИКОВАНИЕ
Приказ Министерства жилищно-коммунального хозяйства и энергетики Камчатского края от 09.11.2020 № 20-944
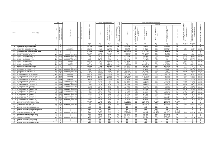
"О внесении изменений в приложения 1-3 к приказу Министерства жилищно-коммунального хозяйства и энергетики Камчатского края от 24.10.2016 № 636 "Об утверждении краткосрочного плана реализации региональной программы капитального ремонта общего имущества в многоквартирных домах в Камчатском крае на 2017-2019 годы"
Номер опубликования: 4101202011130004
Дата опубликования: 13.11.2020
Страница №19 из 38:
Увеличить