Официальное опубликование правовых актов
ОФИЦИАЛЬНОЕ ОПУБЛИКОВАНИЕ
Приказ Министерства специальных программ и по делам казачества Камчатского края от 15.09.2020 № 239-П
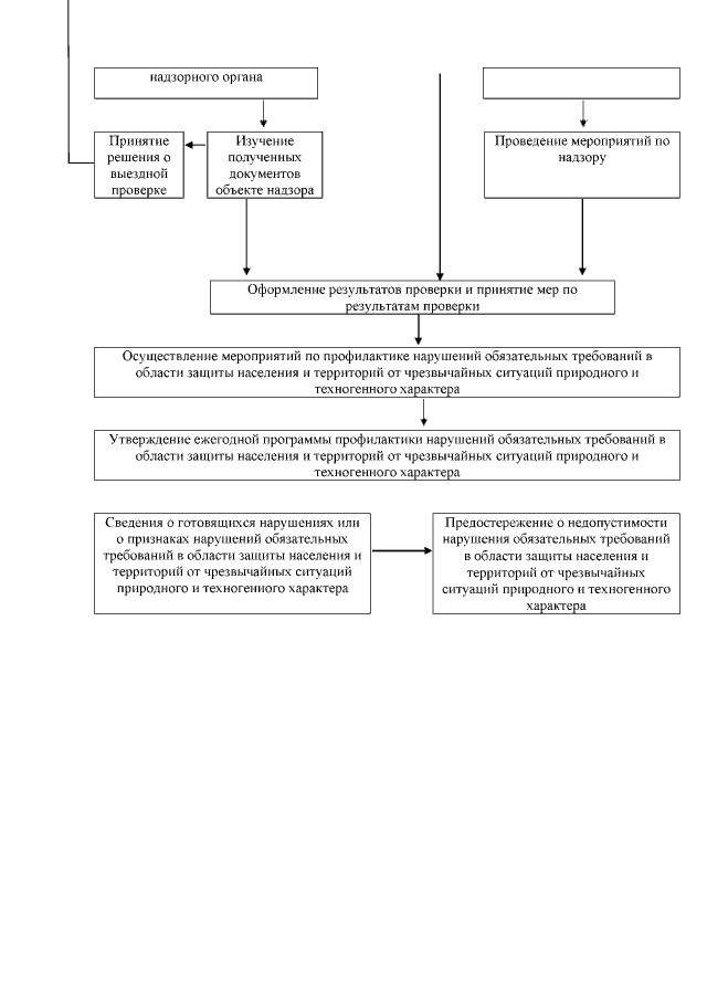
"Об утверждении Административного регламента Министерства специальных программ и по делам казачества Камчатского края исполнения государственной функции по осуществлению регионального государственного надзора в области защиты населения и территорий от чрезвычайных ситуаций регионального, межмуниципального и муниципального характера в Камчатском крае"
Номер опубликования: 4101202009180001
Дата опубликования: 18.09.2020
Страница №44 из 58:
Увеличить