Официальное опубликование правовых актов
ОФИЦИАЛЬНОЕ ОПУБЛИКОВАНИЕ
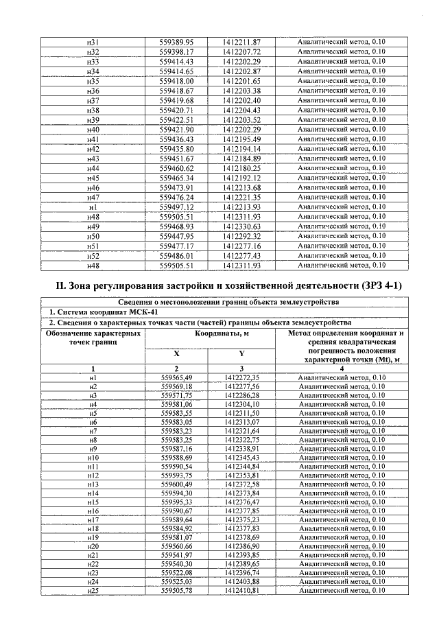
Приказ Службы охраны объектов культурного наследия Камчатского края от 25.03.2020 № 9
"Об установлении зон охраны объекта культурного наследия регионального значения "Деревянное здание", расположенного по адресу: г. Петропавловск- Камчатский, ул. Ленинская, д. 20 и утверждении требований к градостроительным регламентам в границах территорий данных зон"
Номер опубликования: 4101202003270004
Дата опубликования: 27.03.2020
Страница №6 из 15:
Увеличить