Официальное опубликование правовых актов
ОФИЦИАЛЬНОЕ ОПУБЛИКОВАНИЕ
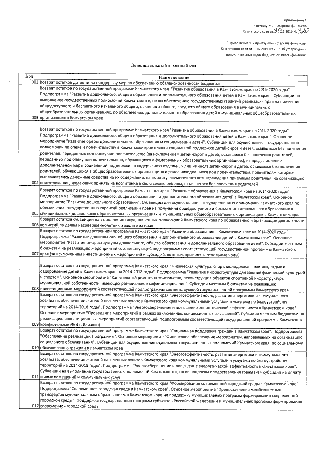
Приказ Министерства финансов Камчатского края от 30.12.2019 № 320
"О внесении изменений в приказ Министерства финансов Камчатского края от 13.02.2019 года № 23 "Об утверждении дополнительных кодов бюджетной классификации на 2019 год"
Номер опубликования: 4101201912300007
Дата опубликования: 30.12.2019
Страница №2 из 48:
Увеличить