Официальное опубликование правовых актов
ОФИЦИАЛЬНОЕ ОПУБЛИКОВАНИЕ
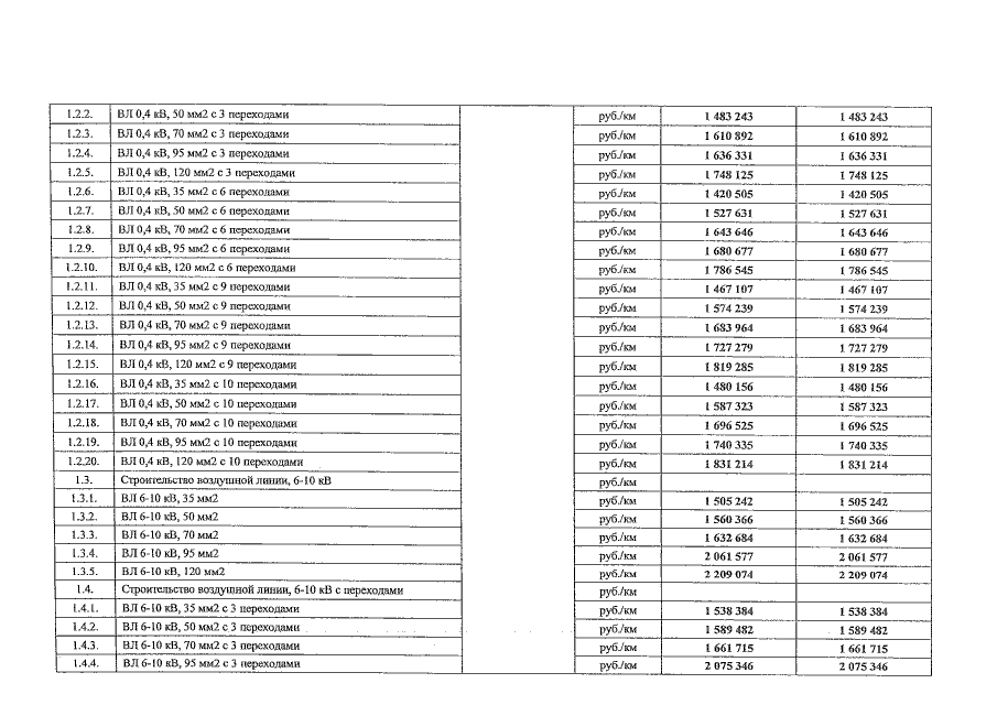
Постановление Региональной службы по тарифам и ценам Камчатского края от 19.12.2019 № 405
"Об установлении платы за технологическое присоединение к электрическим сетям для энергоснабжающих организаций Камчатского края на 2020 год"
Номер опубликования: 4101201912200015
Дата опубликования: 20.12.2019
Страница №7 из 17:
Увеличить