Официальное опубликование правовых актов
ОФИЦИАЛЬНОЕ ОПУБЛИКОВАНИЕ
Приказ Министерства строительства Камчатского края от 29.10.2019 № 115
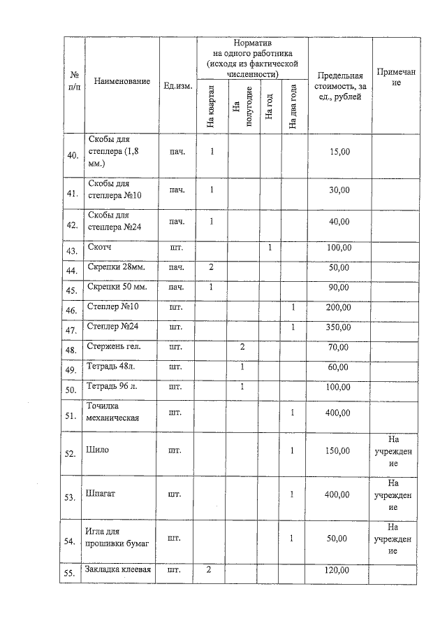
"О внесении изменения в приложение к приказу Министерства строительства Камчатского края от 20.06.2019 № 64 "Об утверждении нормативных затрат на обеспечение функций Министерства строительства Камчатского края и подведомственных ему краевых казенных учреждений"
Номер опубликования: 4101201911010001
Дата опубликования: 01.11.2019
Страница №65 из 69:
Увеличить