Официальное опубликование правовых актов
ОФИЦИАЛЬНОЕ ОПУБЛИКОВАНИЕ
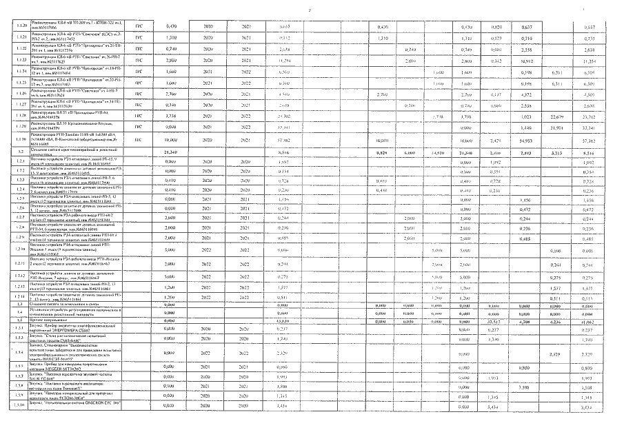
Постановление Региональной службы по тарифам и ценам Камчатского края от 26.06.2019 № 144
"Об утверждении инвестиционной программы филиала "Камчатский" АО "Оборонэнерго" на 2020-2022 годы"
Номер опубликования: 4101201907010003
Дата опубликования: 01.07.2019
Страница №3 из 10:
Увеличить