Официальное опубликование правовых актов
ОФИЦИАЛЬНОЕ ОПУБЛИКОВАНИЕ
Постановление Региональной службы по тарифам и ценам Камчатского края от 30.10.2018 № 198
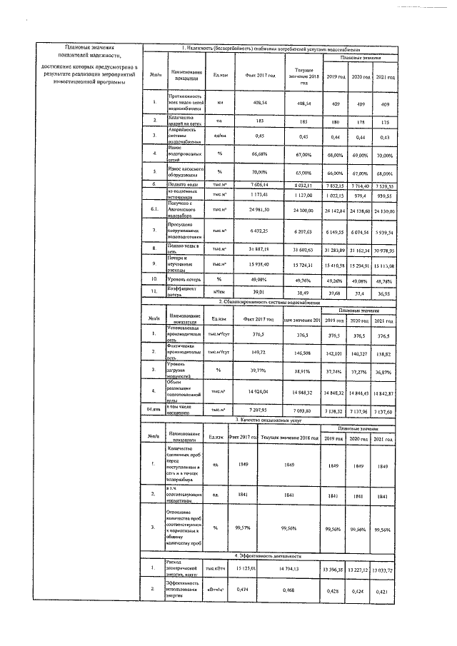
"Об утверждении инвестиционной программы КГУП "Камчатский водоканал" в сфере водоснабжения и водоотведения на 2019-2021 годы"
Номер опубликования: 4101201811070002
Дата опубликования: 07.11.2018
Страница №4 из 33:
Увеличить