Официальное опубликование правовых актов
ОФИЦИАЛЬНОЕ ОПУБЛИКОВАНИЕ
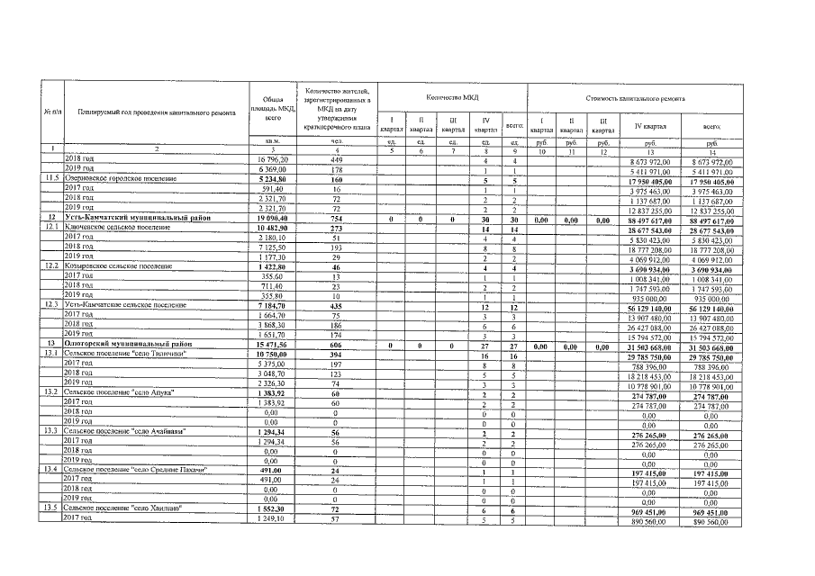
Приказ Министерства жилищно-коммунального хозяйства и энергетики Камчатского края от 30.10.2018 № 675
"О внесении изменений в приложения 1-3 к приказу Министерства жилищно-коммунального хозяйства и энергетики Камчатского края от 24.10.2016 № 636 "Об утверждении краткосрочного плана реализации региональной программы капитального ремонта общего имущества в многоквартирных домах в Камчатском крае на 2017-2019 годы"
Номер опубликования: 4101201811020002
Дата опубликования: 02.11.2018
Страница №34 из 35:
Увеличить