Официальное опубликование правовых актов
ОФИЦИАЛЬНОЕ ОПУБЛИКОВАНИЕ
Постановление Правительства Камчатского края от 18.12.2025 № 557-П
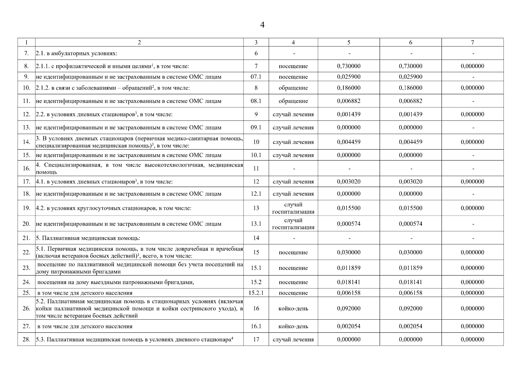
"О внесении изменений в приложение к постановлению Правительства Камчатского края от 28.12.2024 № 691-П "Об утверждении Территориальной программы государственных гарантий бесплатного оказания гражданам медицинской помощи на территории Камчатского края на 2025 год и на плановый период 2026 и 2027 годов"
Номер опубликования: 4100202512180003
Дата опубликования: 18.12.2025
Страница №4 из 11:
Увеличить