Официальное опубликование правовых актов
ОФИЦИАЛЬНОЕ ОПУБЛИКОВАНИЕ
Постановление Правительства Камчатского края от 28.08.2025 № 368-П
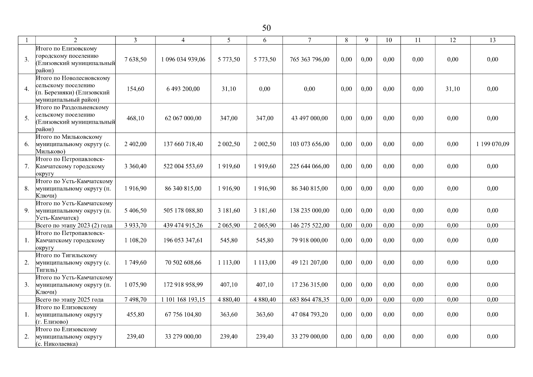
"О внесении изменений в приложение к постановлению Правительства Камчатского края от 17.05.2023 № 271-П "Об утверждении региональной адресной программы "Переселение граждан из аварийного жилищного фонда на территории Камчатского края"
Номер опубликования: 4100202509010008
Дата опубликования: 01.09.2025
Страница №50 из 72:
Увеличить