Официальное опубликование правовых актов
ОФИЦИАЛЬНОЕ ОПУБЛИКОВАНИЕ
Постановление Правительства Камчатского края от 27.01.2025 № 24-П
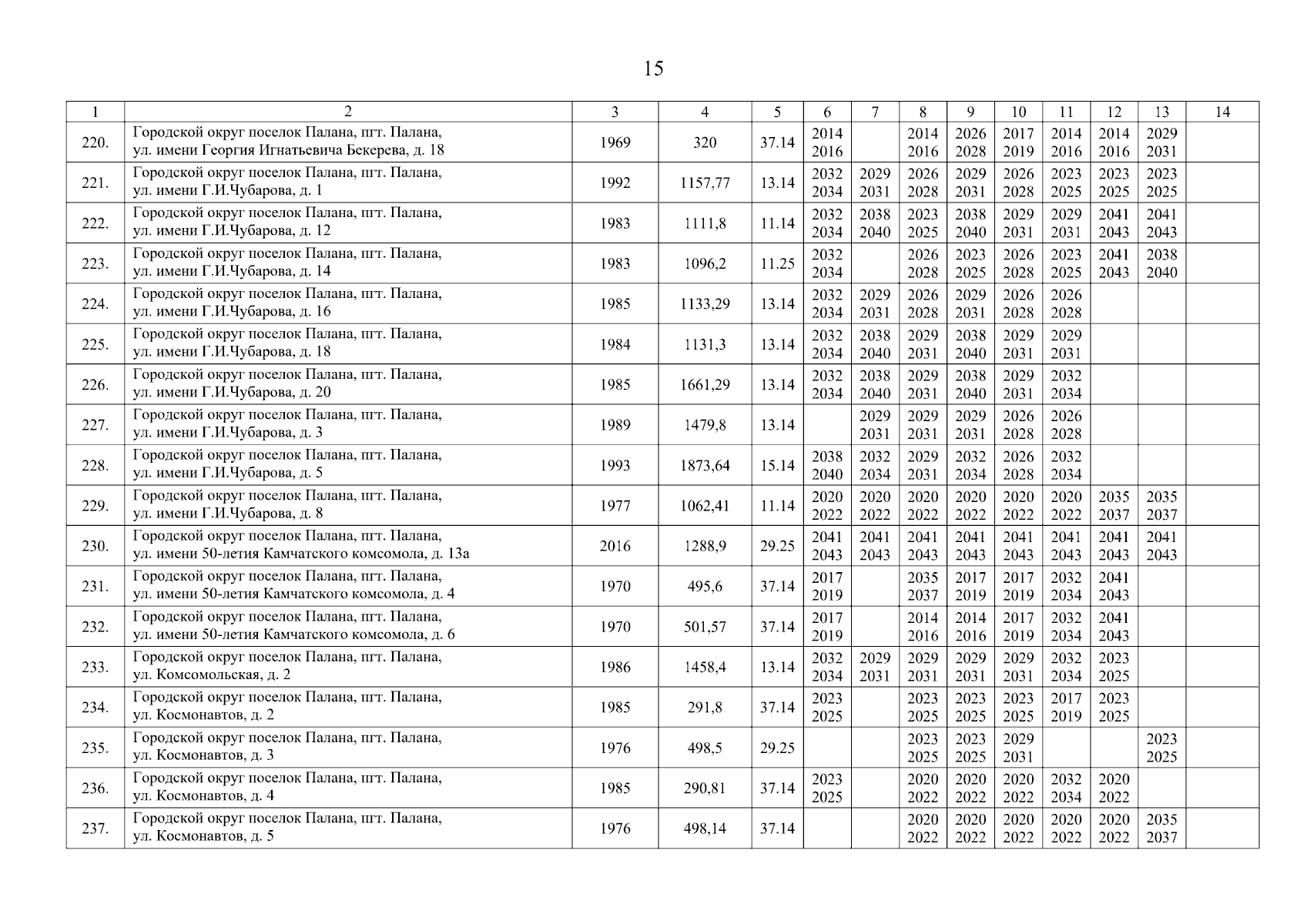
"О внесении изменений в раздел 2 приложения к постановлению Правительства Камчатского края от 12.02.2014 № 74-П "Об утверждении региональной программы капитального ремонта общего имущества в многоквартирных домах в Камчатском крае на 2014–2055 годы"
Номер опубликования: 4100202501270002
Дата опубликования: 27.01.2025
Страница №15 из 148:
Увеличить