Официальное опубликование правовых актов
ОФИЦИАЛЬНОЕ ОПУБЛИКОВАНИЕ
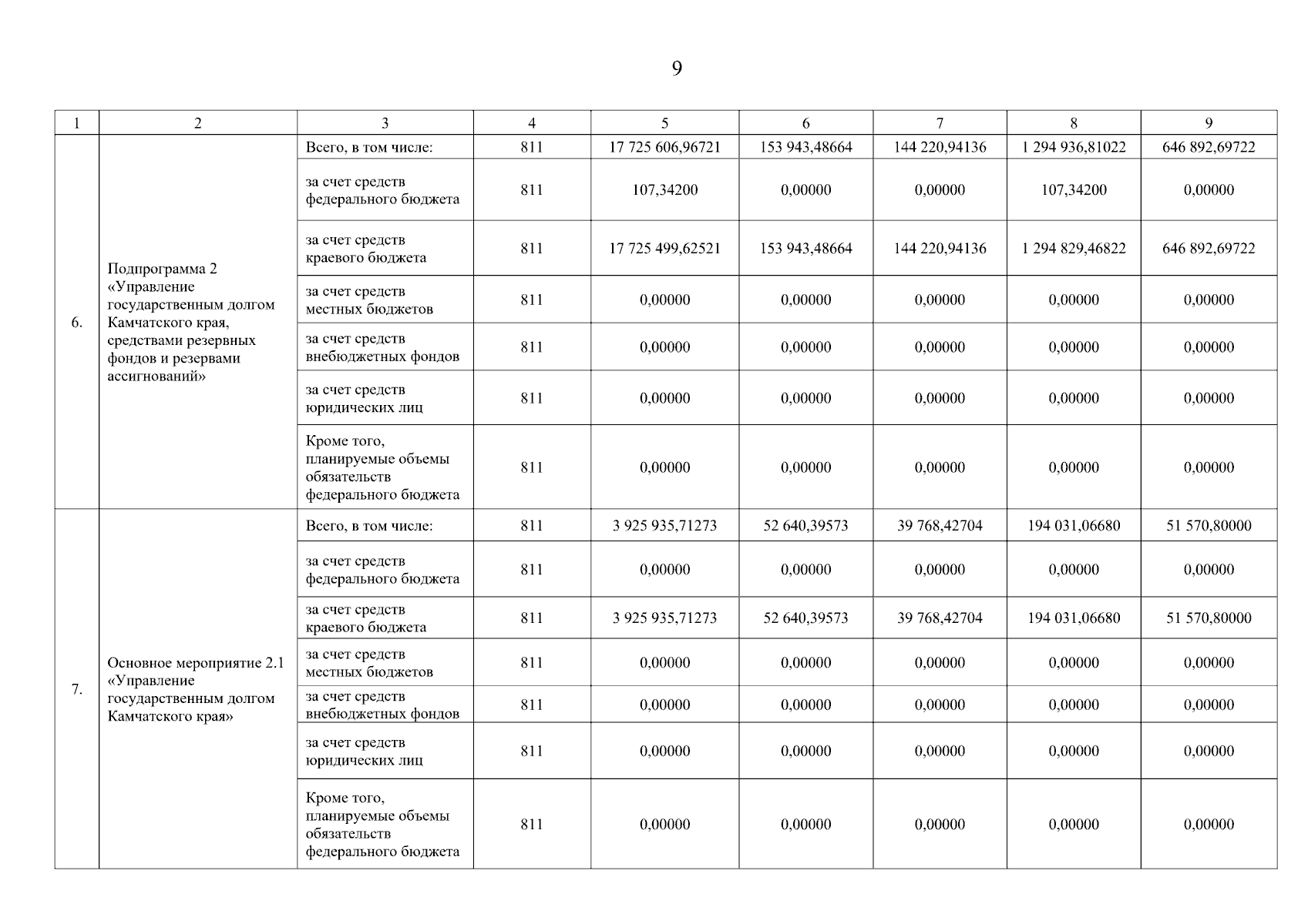
Постановление Правительства Камчатского края от 22.12.2023 № 677-П
"О внесении изменений в государственную программу Камчатского края "Управление государственными финансами Камчатского края", утвержденную постановлением Правительства Камчатского края от 22.11.2013 № 511-П"
Номер опубликования: 4100202312220003
Дата опубликования: 22.12.2023
Страница №9 из 41:
Увеличить