Официальное опубликование правовых актов
ОФИЦИАЛЬНОЕ ОПУБЛИКОВАНИЕ
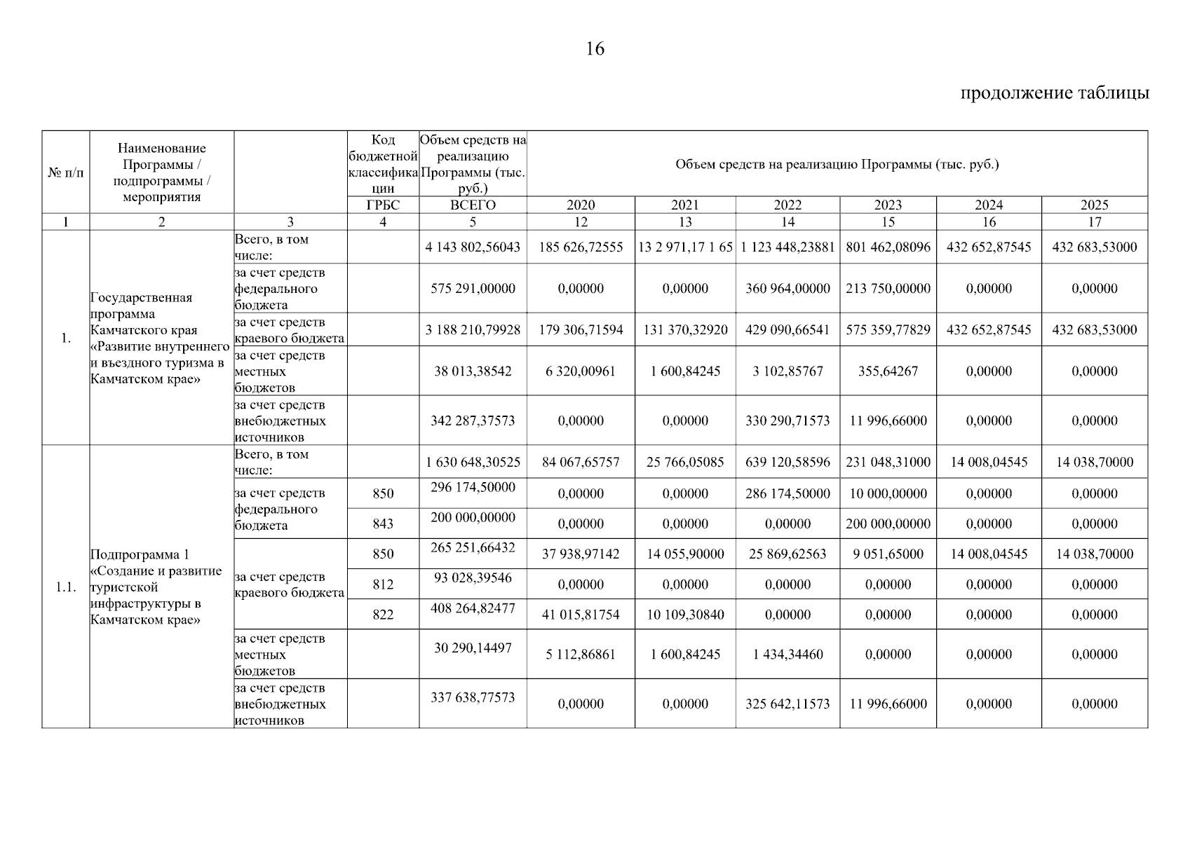
Постановление Правительства Камчатского края от 20.12.2023 № 651-П
"О внесении изменений в государственную программу Камчатского края "Развитие внутреннего и въездного туризма в Камчатском крае", утвержденную постановлением Правительства Камчатского края от 29.11.2013 № 554-П"
Номер опубликования: 4100202312200005
Дата опубликования: 20.12.2023
Страница №16 из 22:
Увеличить