Официальное опубликование правовых актов
ОФИЦИАЛЬНОЕ ОПУБЛИКОВАНИЕ
Постановление Правительства Камчатского края от 01.12.2023 № 595-П
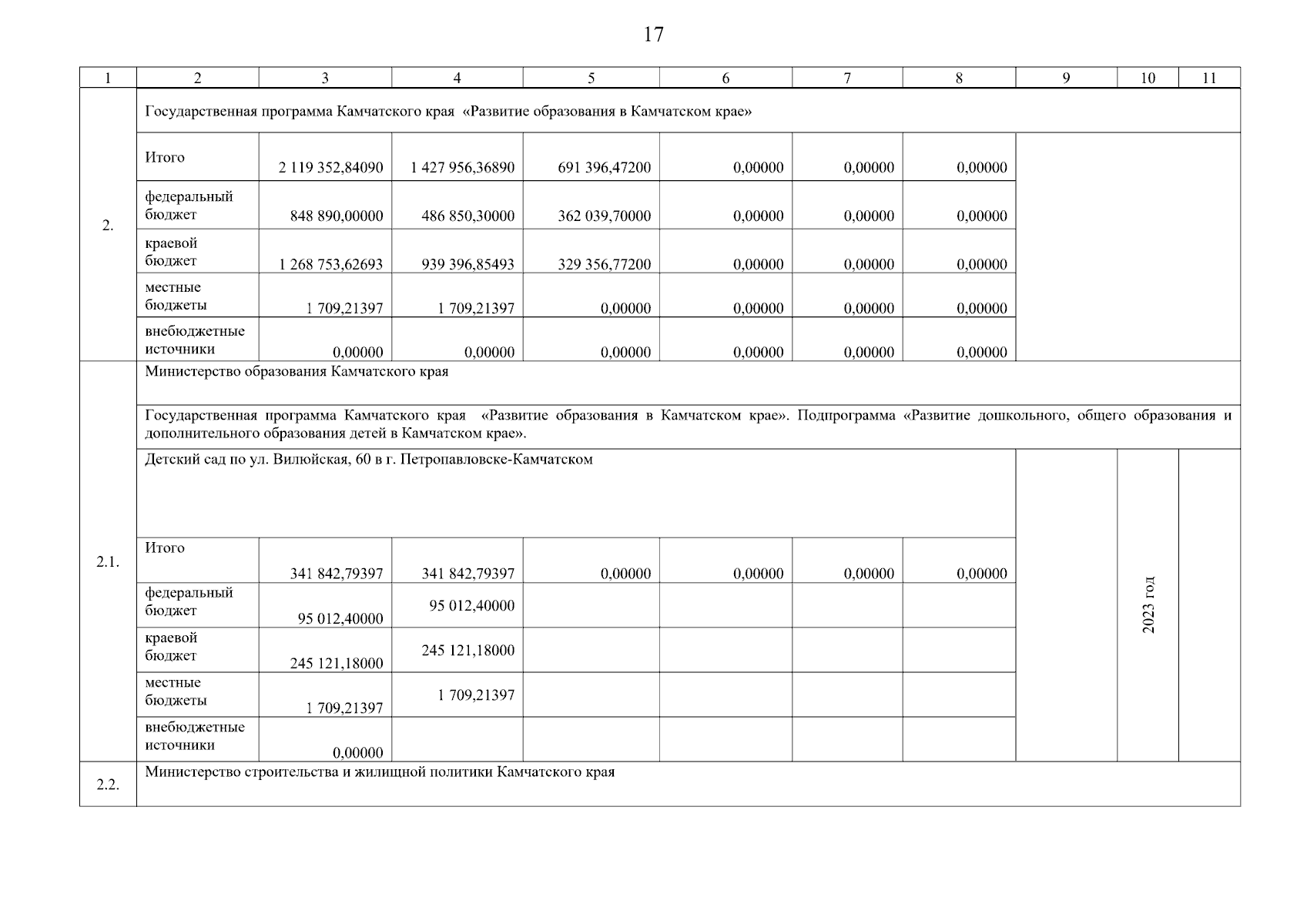
"О внесении изменения в приложение к постановлению Правительства Камчатского края от 28.11.2022 № 612-П "Об утверждении инвестиционной программы Камчатского края на 2023 год и на плановый период 2024–2025 годов и прогнозный период 2026–2027 годов"
Номер опубликования: 4100202312040011
Дата опубликования: 04.12.2023
Страница №17 из 130:
Увеличить