Официальное опубликование правовых актов
ОФИЦИАЛЬНОЕ ОПУБЛИКОВАНИЕ
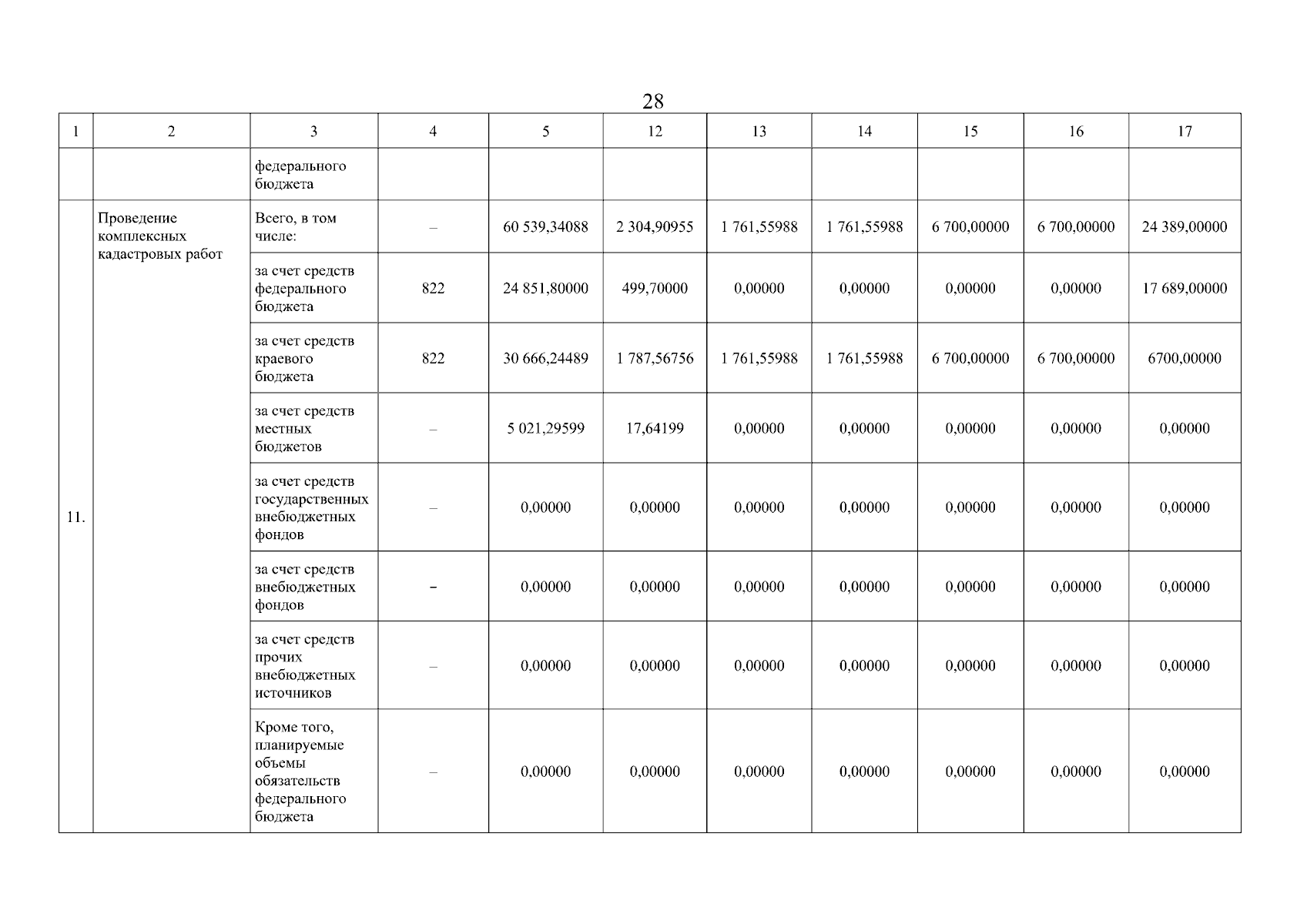
Постановление Правительства Камчатского края от 21.11.2023 № 579-П
"О внесении изменений в государственную программу Камчатского края "Совершенствование управления имуществом, находящимся в государственной собственности Камчатского края", утвержденную постановлением Правительства Камчатского края от 11.11.2013 № 489-П"
Номер опубликования: 4100202311210001
Дата опубликования: 21.11.2023
Страница №28 из 30:
Увеличить