Официальное опубликование правовых актов
ОФИЦИАЛЬНОЕ ОПУБЛИКОВАНИЕ
Постановление Правительства Камчатского края от 12.09.2023 № 485-П
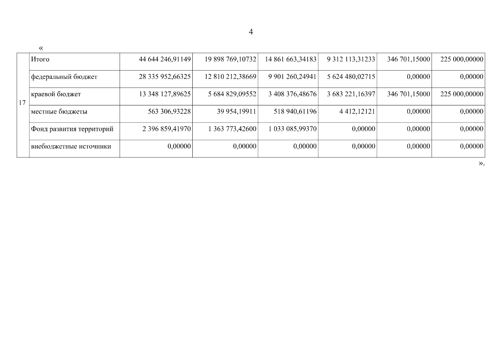
"О внесении изменений в приложение к постановлению Правительства Камчатского края от 28.11.2022 № 612-П "Об утверждении инвестиционной программы Камчатского края на 2023 год и на плановый период 2024–2025 годов и прогнозный период 2026–2027 годов"
Номер опубликования: 4100202309120002
Дата опубликования: 12.09.2023
Страница №4 из 4:
Увеличить