Официальное опубликование правовых актов
ОФИЦИАЛЬНОЕ ОПУБЛИКОВАНИЕ
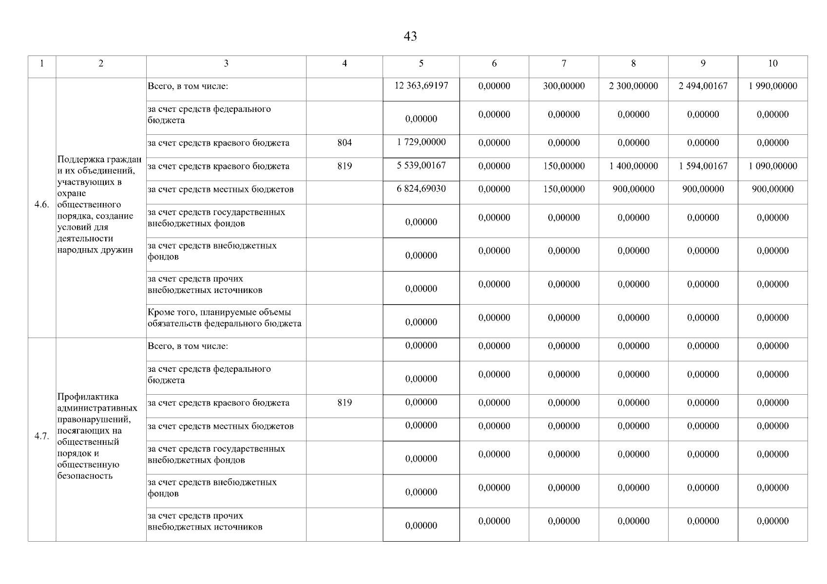
Постановление Правительства Камчатского края от 07.09.2023 № 480-П
"О внесении изменений в государственную программу Камчатского края "Безопасная Камчатка", утвержденную постановлением Правительства Камчатского края от 14.11.2016 № 448-П"
Номер опубликования: 4100202309080002
Дата опубликования: 08.09.2023
Страница №43 из 89:
Увеличить