Официальное опубликование правовых актов
ОФИЦИАЛЬНОЕ ОПУБЛИКОВАНИЕ
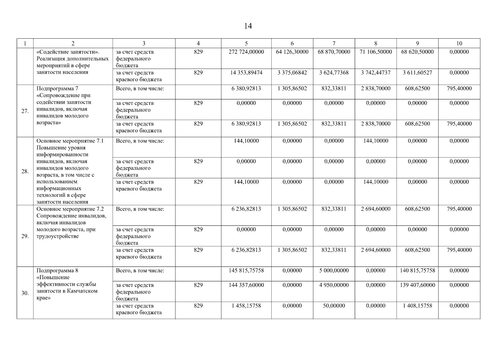
Постановление Правительства Камчатского края от 23.08.2023 № 449-П
"О внесении изменений в государственную программу Камчатского края "Содействие занятости населения Камчатского края", утвержденную постановлением Правительства Камчатского края от 11.11.2013 № 490-П"
Номер опубликования: 4100202308240002
Дата опубликования: 24.08.2023
Страница №14 из 16:
Увеличить