Официальное опубликование правовых актов
ОФИЦИАЛЬНОЕ ОПУБЛИКОВАНИЕ
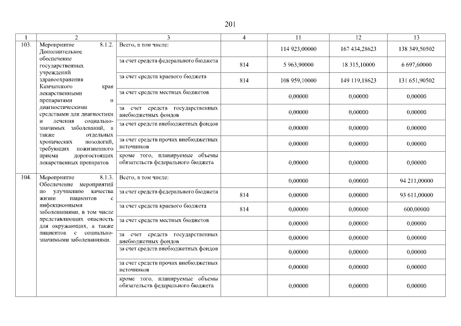
Постановление Правительства Камчатского края от 31.07.2023 № 416-П
"О внесении изменений в государственную программу Камчатского края "Развитие здравоохранения Камчатского края", утвержденную постановлением Правительства Камчатского края от 29.11.2013 № 524-П"
Номер опубликования: 4100202307310001
Дата опубликования: 31.07.2023
Страница №201 из 282:
Увеличить