Официальное опубликование правовых актов
ОФИЦИАЛЬНОЕ ОПУБЛИКОВАНИЕ
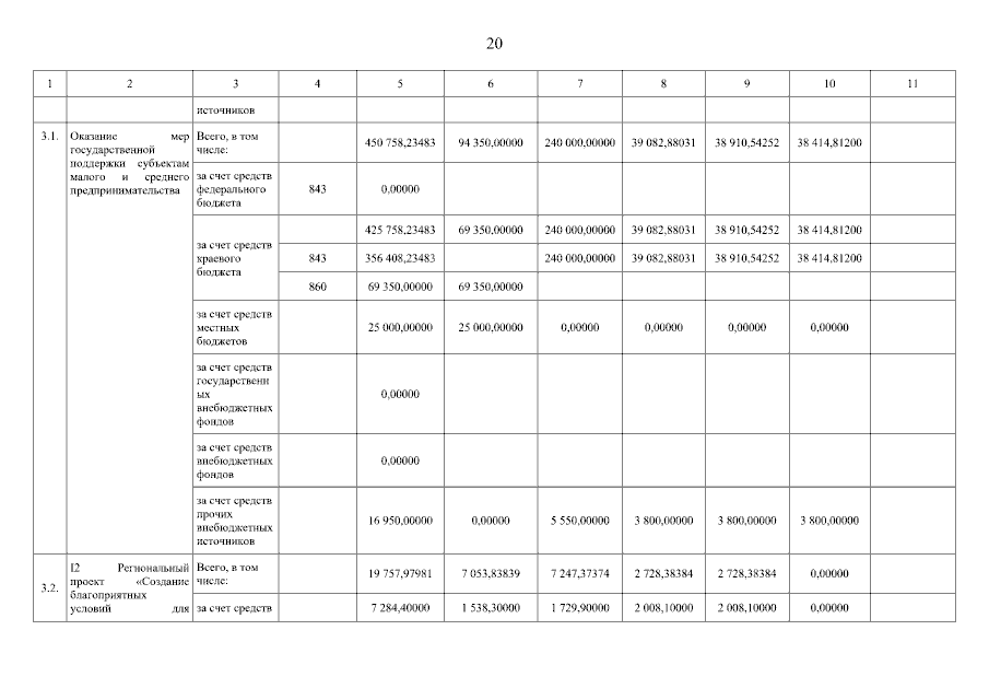
Постановление Правительства Камчатского края от 06.07.2023 № 378-П
"О внесении изменений в государственную программу Камчатского края "Развитие экономики и внешнеэкономической деятельности Камчатского края", утвержденную постановлением Правительства Камчатского края от 01.07.2021 № 277-П"
Номер опубликования: 4100202307070019
Дата опубликования: 07.07.2023
Страница №20 из 46:
Увеличить