Официальное опубликование правовых актов
ОФИЦИАЛЬНОЕ ОПУБЛИКОВАНИЕ
Распоряжение Правительства Камчатского края от 02.06.2023 № 259-РП
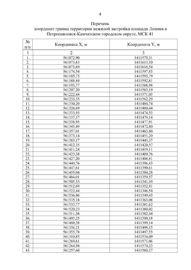
"О принятии решения о комплексном развитии территории нежилой застройки площади Ленина в Петропавловск-Камчатском городском округе"
Номер опубликования: 4100202306020002
Дата опубликования: 02.06.2023
Страница №4 из 12:
Увеличить