Официальное опубликование правовых актов
ОФИЦИАЛЬНОЕ ОПУБЛИКОВАНИЕ
Постановление Правительства Камчатского края от 13.03.2023 № 144-П
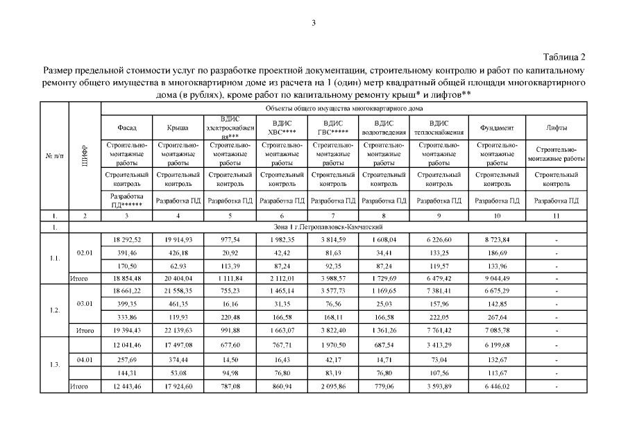
"О внесении изменения в приложение к постановлению Правительства Камчатского края от 05.03.2021 № 82-П "Об утверждении размера предельной стоимости услуг и (или) работ по капитальному ремонту общего имущества в многоквартирном доме в Камчатском крае на 2021–2023 годы"
Номер опубликования: 4100202303150004
Дата опубликования: 15.03.2023
Страница №3 из 39:
Увеличить