Официальное опубликование правовых актов
ОФИЦИАЛЬНОЕ ОПУБЛИКОВАНИЕ
Постановление Правительства Камчатского края от 27.01.2023 № 44-П
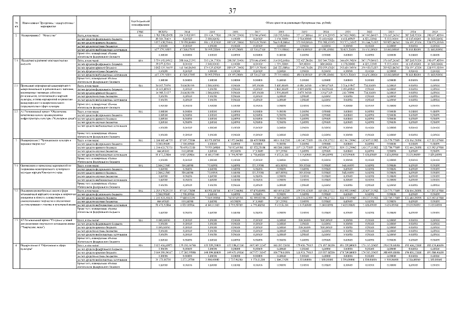
"О внесении изменений в постановление Правительства Камчатского края от 29.11.2013 № 545-П "Об утверждении государственной программы Камчатского края "Развитие культуры в Камчатском крае"
Номер опубликования: 4100202301270002
Дата опубликования: 27.01.2023
Страница №37 из 40:
Увеличить