Официальное опубликование правовых актов
ОФИЦИАЛЬНОЕ ОПУБЛИКОВАНИЕ
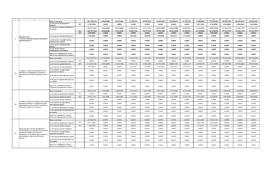
Постановление Правительства Камчатского края от 16.12.2022 № 688-П
"О внесении изменений в государственную программу Камчатского края "Развитие сельского хозяйства и регулирование рынков сельскохозяйственной продукции, сырья и продовольствия Камчатского края", утвержденную постановлением Правительства Камчатского края от 29.11.2013 № 523-П"
Номер опубликования: 4100202212160007
Дата опубликования: 16.12.2022
Страница №42 из 52:
Увеличить